Month: April 2020
Remarkable and Astoundingly Delightful
Pinky And The Brain Theme
Postmodern Jukebox (ft. Emily Goglia, Rob Paulsen, Maurice LaMarche) – “Pinky And The Brain Theme”:
(more…)Quantum Physics and Probability
Your Daily Equation | Episode 10: Quantum Physics and Probability
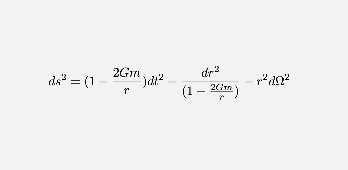
(more…)Force, Energy, and Action
The Biggest Ideas in the Universe | 3. Force, Energy, and Action
(more…)De Broglie Wavelength
Your Daily Equation | Episode 09: De Broglie Wavelength
(more…)Mmmm, Not Found
Photoelectric Effect
Your Daily Equation | Episode 08: Photoelectric Effect
(more…)OAN
OAN – Last Week Tonight with John Oliver:
(more…)Relativistic Velocity Combination
Your Daily Equation | Episode 07: Relativistic Velocity Combination
(more…)
